Akademia automatyki

Skale temperatury – przegląd i konwersje
Temperatura otacza nas każdego dnia — od prognoz pogody, przez pracę urządzeń, aż po procesy przemysłowe. Ale czym właściwie są skale temperatury, jakie istnieją i jak przeliczać wartości między nimi? W tym wpisie prześledzimy najważniejsze skale temperatury, ich genezę, zastosowanie oraz wzory przeliczeniowe.

Czym jest temperatura i dlaczego potrzebujemy różnych skali temperatury?
Temperatura to miara średniej energii kinetycznej ruchu cząsteczek tworzących dane ciało. Kiedy dwa ciała mają różne temperatury, następuje przepływ ciepła z ciała o wyższej temperaturze do tego o niższej, aż do wyrównania. Aby efektywnie porównywać temperatury i stosować je w pomiarach, powstały różne skale temperatury, czyli systemy, które przypisują konkretne liczby do wybranych punktów temperaturowych. W praktyce oznacza to, że znając wartość temperatury w jednej skali, możemy ją przeliczyć na inną — co jest niezwykle istotne w nauce, technice, meteorologii i przemyśle.

Najważniejsze skale temperatury
Skala Celsjusza
Najbardziej rozpowszechnioną skalą temperatury jest skala Celsjusza – nazwana od nazwiska szwedzkiego uczonego Anders Celsius, który zaproponował ją w 1742 roku. W pierwotnej wersji skali Celsjusza punktowi topnienia lodu przypisano 100°C, a punktowi wrzenia wody 0°C. W obecnym ujęciu: 0°C to topnienie lodu, 100°C to wrzenie wody przy ciśnieniu 1013 hPa. Skala Celsjusza jest niezwykle praktyczna w życiu codziennym i w nauce — dlatego często używana w meteorologii, gospodarstwach domowych, edukacji.
Skala Kelvina
Kolejną kluczową skalą temperatury jest skala Kelvina – jednostka temperatury w układzie SI, oznaczana symbolem K. Nazwana na cześć szkockiego fizyka William Thomson, 1st Baron Kelvin (1824-1907). – Zero K (0 K) to tzw. absolutne zero — najniższa teoretyczna temperatura, przy której ustałyby wszelkie drgania cząsteczek. – Przeliczanie: 0°C = 273,15 K oraz 0 K = –273,15°C. Skala Kelvina jest podstawą w fizyce, termodynamice, inżynierii — wszędzie tam, gdzie potrzebna jest skala absolutna.
Skala Fahrenheita
Skala Fahrenheita to kolejna ze znanych skali temperatury, zaproponowana w 1724 roku przez Daniel Gabriel Fahrenheit (1686-1736). W tej skali 32°F to punkt topnienia lodu, 212°F to wrzenie wody (przy 1013 hPa). Skala Fahrenheita wciąż jest używana m.in. w USA, na Kajmanach, w Belize oraz w Kanadzie jako uzupełniająca. Wzory przeliczania między stopniami Celsjusza a Fahrenheita są dostępne, co pozwala łatwo konwertować wartości.
Inne mniej znane skale temperatury
Poza trzema najpopularniejszymi, istnieją także inne skale temperatury - dziś głównie o wartości historycznej lub specjalistycznej:
Skala Rankine’a – absolutna skala na bazie Fahrenheita.
Skala Delisle’a – opracowana w 1732 roku przez Joseph‑Nicolas Delisle.
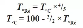
Skala Réaumura – wprowadzona w 1731 roku przez René de Réaumur, używana w Europie Środkowej do początku XX wieku.
Skala Rømera – opracowana w 1701 roku przez Ole Rømer. Choć rzadko używane dzisiaj, znajomość tych skal temperatury pokazuje, jak rozwijała się nauka pomiaru temperatury i jakie były różne podejścia do definiowania "stopnia".

Jak przeliczać między skalami temperatury
Jedną z najważniejszych umiejętności związanych ze skalami temperatury jest konwersja, czyli przeliczanie wartości między różnymi skalami. W praktyce najczęściej mamy do czynienia ze skalami Celsjusza, Kelvina i Fahrenheita.
Przedstawione w tabeli 1 i tabeli 3 wzory przeliczania z jednych jednostek na drugie nie należą do najłatwiejszych sposobów radzenia sobie z różnymi skalami. Na szczęście zdecydowanie łatwiejsze jest skorzystanie z dostępnych kalkulatorów przeliczeń jednostek, które w dobie Internetu są dostępne za jednym kliknięciem. W sieci znajdziemy ich mnóstwo, rekomendujemy korzystanie z przelicznika jednostek firmy Beamex: https://www.beamex.com/resources/temperature-unit-converter/


Dlaczego warto znać skale temperatury?
- Wiedząc, co znaczą liczby na termometrach lub urządzeniach pomiarowych, możesz lepiej interpretować pomiary,
- Możesz przeliczyć wartości miedzy różnymi systemami,
- Wiedza o różnych skalach temperatury ułatwia zrozumienie dawnej literatury, starych tabel, urządzeń pomiarowych,
- Skala Kelvina bywa standardem — bez znajomości konwersji praca może być utrudniona.
Podsumowując, wniosek ze znajomości różnych skal temperatur to fundament pomiaru - zarówno w codziennym życiu, jak i w nauce oraz technice. Zrozumienie najważniejszych skal tj. Celsjusza, Kelvina, Fahrenheita oraz podstawowych wzorów przeliczeniowych, znacząco ułatwia pracę i interpretację wyników.











